Infigratinib: Clinical Trial Results Update for Achondroplasia
QED Therapeutics (an affiliate of BridgeBio) has announced the results of a clinical trial group from the PROPEL 2 Study, a Phase 2 trial of infigratinib for children with achondroplasia. See press release.
The data* revealed show interesting results and no treatment-related adverse effects. According to the company:
- There was an average increase in annual growth velocity in height of +2.51 cm at 12 months, and +2.50 cm at 18 months.
- A reduction in body disproportionality was also observed, from 2.02 to 1.88 at month 18.
- Infigratinib showed a continuous and well-tolerated safety profile, with no treatment-related adverse events evaluated.
*The key results can be seen here.
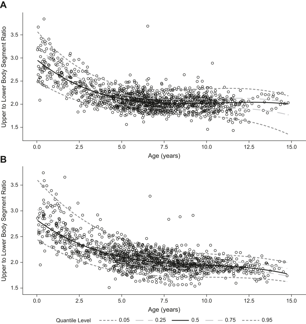
What is body proportionality?
It consists of the ratio between the upper and lower segments of the body. It is calculated using the formula "sitting height / (standing height - sitting height)", and is approximately 2 in children with achondroplasia. In children with development within the growth curves, the proportionality is 1. In the image below, you can see the scatter plots and cubic quantile regression curves of the upper/lower body segment ratio from birth to 15 years in (A) female children and (B) male children:
Scatter plots of the ratio between upper and lower body segments
Source: Savarirayan, R., Irving, M., Harmatz, P., Delgado, et al. (2022). Growth parameters in children with achondroplasia: A 7-year, prospective, multinational, observational study. Genetics in Medicine, 24(12), 2444-2452. https://doi.org/10.1016/j.gim.2022.08.015.
Know more: what is Infigratinib?
Infigratinib is an oral molecule (drug in development) designed to inhibit the signaling of the FGFR3 gene, acting on the cause of achondroplasia.
Find more information about QED's ongoing achondroplasia studies by following the links below:

