Complicações Possíveis
2017-08-25Health Guide
Podem surgir diversas complicações associadas à acondroplasia. Aqui pode consultar uma compilação das complicações principais que surgem desta doença, divididas por grupos de idade.

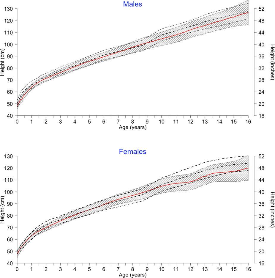
Curvas de Percentil Altura
2018-04-26Health Guide
Curvas de percentil de altura em crianças e jovens com acondroplasia.

Curvas de Percentil de Perímetro Cefálico
2017-05-15Health Guide
Curvas de percentil de perímetro cefálico para crianças com acondroplasia.

Curvas de Percentil do Diâmetro do Foramen Magnum
2017-09-03Health Guide
Curvas de percentil do foramen magnum em crianças com acondroplasia.

Curvas de percentil do Índice de Massa Corporal
2017-09-03Health Guide
Curvas de percentil do índice de massa corporal para crianças com acondroplasia para uso clínico e para os pais seguirem o crescimento dos seus filhos.

Curvas de Percentil Peso
2017-05-15Health Guide
Curvas de percentil peso em crianças e jovens com acondroplasia.
Exames Médicos
2017-08-21Health Guide
Esta página descreve que exames e testes médicos são recomendados e a que idades devem ser feitos, disponibilizando um calendário para a gestão da acondroplasia.
Guia de Nutrição
2017-08-10Nutritional guide
A obesidade é um problema comum em pessoas com esta condição que pode levar ou exacerbar várias outras complicações associadas à doença. Por esta razão, apresentamos um Guia de Nutrição para pessoas com acondroplasia, desenhado para o aconselhamento nutricional e baseado numa tese pela Dr.ª Katheryn Lamb.
Incapacidades
2019-03-13Health Guide
A acondroplasia está associada a algumas restrições ou limitações em determinadas atividades. A Orphanet publicou uma página dedicada às limitações que uma pessoa com acondroplasia pode sentir, organizando-as pela sua frequência na população de pessoas com acondroplasia, e classificando-as relativamente à sua duração (se são permanentes ou passageiras) e severidade.

Monitorização do Crescimento
2018-04-20Health Guide
Um dos guias mais conhecidos para a saúde em crianças com acondroplasia foi publicado em 2005 no American Academy of Pediatrics Journal por Trotter, T. e Hall, J.. O documento completo recomenda os pediatras em como aconselhar os pais de crianças com acondroplasia, como prevenir complicações e, mais importante, como monitorizar a sua saúde enquanto crescem. Para atingir este objetivo, apresentamos nesta página as Curvas de Crescimento para crianças com acondroplasia. No entanto, é preciso desenv […]

